一、绝缘基础相关知识
1.关于绝缘
绝缘,物理学名词,指使用不导电的物质将带电体隔离或包裹起来,以对触电起保护作用的一种安全措施。良
好的绝缘对于保证电气设备与线路的安全运行,以及防止人身触电事故的发生是最基本的和最可靠的手段。
1.1国标对电动汽车绝缘描述
《电动汽车安全要求》(GB18384-2020)
绝缘电阻要求在最大工作电压下,直流电路绝缘电阻应不小于100Ω/V,交流电路应不小于500Ω/V。
车辆应有绝缘电阻监测功能,在车辆B级电压电路接通且未与外部电源传导连接时,该装置能够持续或者间歇地检
测车辆的绝缘电阻值,当该绝缘电阻值小于制造商规定的阈值时,应通过一个明显的信号(例如:声或光信号)装
置提醒驾驶员。
根据最大工作电压,将电气元件或电路分为以下电压等级
绝缘电阻测量方法
a)使车辆上电,保证车辆上所有电力、电子开关处于激活状态
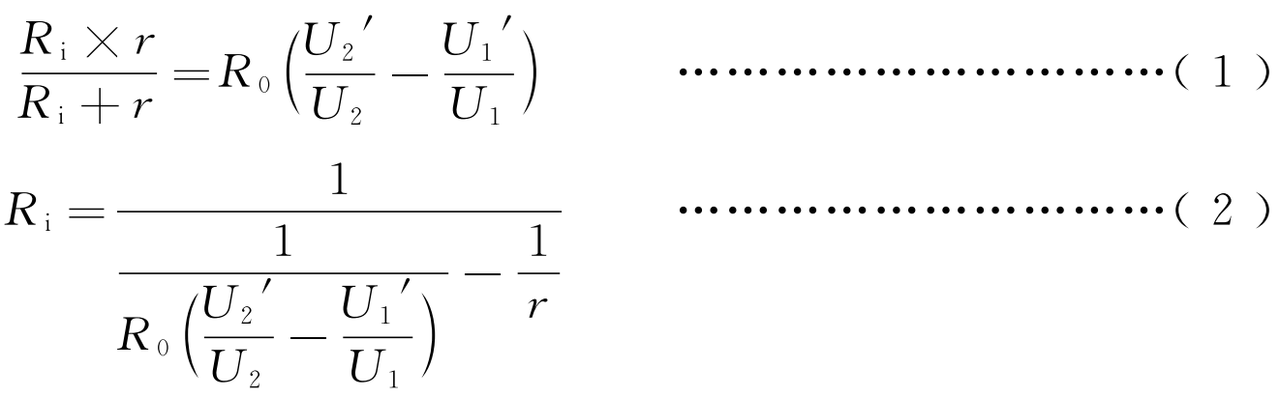
b)用相同的两个电压检测工具同时测量REESS的两个端子和电平台之间的电压,如图1所示,待读数稳定,较高
的一个为U1,较低的一个为U1';
C)添加一个已知电阻Ro,阻值宜选择1MΩ,如图2所示并联在RIEESS的U1侧端子与电平台之间,再用步骤b)
中的两个电压检测工具同时测量REESS的两个端子和电平台之间的电压,待读数稳定后,测量值为U2和U2

d)计算绝缘电阻Ri,方法如下:Ri可以使用Ro和四个电压值1、U1'、U2 和U2'以及电压检测设备内阻r,
代入式(1)或式(2)来计算:
1.2汽车的绝缘描述
[BMS]应监测整个HV系统的绝缘情况,能够检测BMS唤醒后的HV系统的HV系统故障。
[BMS]应通过PT CAN发送绝缘故障。
[VCU]应接收来自PT CAN的绝缘故障。
[CDC]应接收来自PTCAN的绝缘故障。如果绝缘等级为一般故文障或严重故障,CDC将点亮绝缘信号灯。
[BMS]应测量BMS激活时的绝缘电阻。作为初始值,在首个测量结果果可用前,BMS应使用默认值(60000kΩ)
绝缘故障应分三个严重等级(无故障、一般故障、严重故障):
2.失效方案
基于车型绝缘报警的历史维修数据,梳理出各故障件的的分布占比,从分布结果上看,易发故障件TOP3分别
为PTC、PEU和HVAC,总占比较高
PTC绝缘故障失效模式:可通过外观发现的如冷凝水进入内部芯体/烧蚀、炸管鼓包和外部异物进入等,或其他不可
见的内部故障;
PEU绝缘故障失效模式:可外观发现的如内部冷却液泄露、内部烧蚀等,或其他不可见的内部故障
HVAC绝缘故障失效模式:可通过外观发现的如空调管路存在铝屑或其他异物、压缩机进出管路液体泄漏等,或其
他不可见的内部故障。